فروش و درآمد حاصل از آن مهمترین دستاورد یک سازمان است. در شرایط فعلی فروش از هر زمان دیگری سختتر شده است. در صورتی که صنعت با یک وضعیت تغییر مستمر همراه باشد؛ وظیفه مدیریت کسبوکار با چالش همراه خواهد بود.
فروش و درآمد حاصل از آن مهمترین دستاورد یک سازمان است. در شرایط فعلی فروش از هر زمان دیگری سختتر شده است. در صورتی که صنعت با یک وضعیت تغییر مستمر همراه باشد؛ وظیفه مدیریت کسبوکار با چالش همراه خواهد بود. این تغییرات شامل افزایش در رقابت، پیچیدهتر شدن وظایف کسبوکار و روند بینالمللی شدن کسبوکارها است که واقعیت امروزی محیط کسبوکارها را نشان میدهد. این امر باعث میشود که سازمانها پیشبینی چشمانداز آینده خود را از نقطه نظر فروش، هزینه، سود و ... به طور روز افزونی مهم و ضروری بدانند. از این رو این مقاله به یکی از بخشهای مهم پیشبینی یعنی پیشبینی فروش پرداخته است.
پیشبینی فروش
بعد از اینکه شرکت بازار هدف خود را انتخاب کرد، به پیشبینی فروش نیاز دارد. پیشبینی فروش مقدار محصولی است که شرکت انتظار دارد در یک دوره زمانی و سطح مشخصی از فعالیتهای بازاریابی به فروش برساند. پیشبینی فروش با پتانسیل فروش شرکت متفاوت است. پیشبینی فروش بر میزان واقعی فروش در سطح معینی از فعالیتهای بازاریابی شرکت تمرکز دارد؛ در حالی که پتانسیل فروش، مقدار فروش در سطوح مختلف فعالیتهای بازاریابی را با فرض وجود شرایط خاص در محیط بازار ارزیابی میکند. کسبوکارها از پیشبینی فروش برای برنامهریزی، سازماندهی، اجرا و کنترل فعالیتهای خود استفاده میکنند. موفقیت این وظایف متعدد به صحت این پیشبینی بستگی دارد. مشکلات معمول در شرکتهای در حال شکست، برنامهریزی نامناسب و عدم پیشبینی واقعی فروش است. پیشبینیهای بیش از حد بلند پروازانه در فروش میتواند منجر به خرید بیش از حد، سرمایهگذاری زیاد و هزینههای بیشتر شود.
اهداف پیشبینی فروش
پیشبینی فروش در موارد ذیل نقش دارد:

برنامهریزی
گفته میشود که پیشبینی عبارت است از هشدار از قبل و به موقع برای اقدام مطلوب. بیشتر کسبوکارها از پیشبینی فروش و هدف کلی آن آگاه هستند. اما بسیاری از مدیران هنوز آن را به عنوان یک تکنیک جدید در نظر میگیرند و با سوءظن به آن نگاه میکنند. در سالهای اخیر ارزش پیشبینی روشن شده است. این امر منجر به توسعه تکنیکهای پیچیدهای شده است که میتوانند مستقیماً در کسبوکارها بکار گرفته شوند.
برای پیشبینی آینده باید گذشته را مورد بررسی قرار دهیم تا روندها را طی دورههای زمانی مشاهده کنیم و احتمال تکرار این روندها در آینده را مشخص نماییم. بنابراین همه پیشبینیها اشتباه است؛ مدیریت باید از این واقعیت آگاه باشد و در مورد میزان عدم صحت قابل قبول هنگام برنامهریزی برای آینده تصمیمگیری کند.
برای شرکتها پیشبینی ضروری است. شرکتهایی که این کار را انجام نمیدهند به رقبای خود یک مزیت مشخص میدهند. پیشبینی نادرست یا پیشبینی نکردن ریشه اکثر شکستهای کسبوکار امروزی است. در گذشته کالاها فقط با اعتبار شرکت به فروش میرسیدند و پیشبینی خیلی مهم نبود. در رقابت امروزی، شرکتهایی که به دنبال بقای کسبوکار خود هستند باید پیشبینی دقیق برای تولید آینده خود انجام میدهند.
هنگام پیشبینی اساساً باید برای یک بخش خاص از بازار پیشبینی را انجام دهیم و این بخش منعکسکننده فعالیتهای بازاریابی خواهد بود. میتوان تقاضا برای بازار جهانی کالای خاصی را پیشبینی کرد، با این آگاهی که فعالیتهای بازاریابی شرکت فقط بخشهای خاصی از بازار داخلی را پوشش میدهد. این مهارت در تعیین اینکه چند درصد از کل بازار بالقوه شرکت با توجه به فعالیتهای بازاریابی شناخته شده و بخشهای بازار به آن تعلق میگیرد، نهفته است. در اینجا است که برنامهریزی مدیریت برای تعیین منابعی که باید به بخشهای خاص کسبوکار تخصیص داد شود تا به سطح فروش پیشبینی شده دست یابند، انجام میگیرد.
پیشبینی در سطوح مختلف- در سطح بینالمللی، ملی، صنعت و ... انجام میشود تا در نهایت به یک پیشبینی محصول خاص برسیم. به طور معمول، یک شرکت نیازی به پیشبینی بینالمللی یا ملی در مورد مواردی مانند رشد اقتصادی، تورم و ... ندارد. این کار معمولاً توسط دولت و سایر سازمان انجام میشود. پیشبینیکنندگان شرکتی صرفاً این پیشبینیها را انجام میدهند و پیشبینی فردی خود را با توجه به پیشبینیهای سطح کلان تنظیم میکنند. در بعضی صنایع، پیشبینیهای مربوط به صنعت گاهی توسط انجمنهای تولیدکنندگان انجام میگیرد. چنین پیشبینیهایی برای صنعت، برخلاف پیشبینی فروش که مربوط به یک شرکت واحد است، گاهی پیشبینیهای بازار نامیده میشود.
بنابراین برنامهریزان فقط زمانی به پیشبینی علاقه دارند که مربوط به شرکت یا محصولات و خدمات خاص باشد. این سطح عملی پیشبینی است که ما به آن علاقهمند هستیم. آنچه وضعیت را بهتر میکند این است که مدیریت اکنون میتواند اعتماد بیشتری به پیشبینیها داشته باشد؛ زیرا امروزه تکنیکهای پیچیدهتری با کمک کامپیوتر در دسترس است. این روشها میتوانند دادههای به هنگام و دقیقتری را برای کمک به برنامهریزی مدیریت فراهم کنند.

اهداف شرکتی
یک دلیل اصلی برای پیشبینی، فراهم آوردن زمینهای برای برنامههای بلند مدت است. کسبوکارها باید برای دستیابی به اهدافی که در پیشبینیهای بلند مدت تعیین شدهاند، برنامهریزی کنند و این برنامهها بر جنبههای مختلف عملکردی کسبوکار تأثیر میگذارد. اساس این برنامهها سودآوری بلند مدت است؛ زیرا بدون سودآوری شرکت ممکن است نتواند به تعهدات آینده خود در دستیابی به فروش برنامهریزی شده عمل کند. برنامهریزان شرکت باید ارزیابی کنند که آیا میتوان چنین فروش بالقوهای را در محدوده کسبوکار فعلی به دست آورد یا خیر؛ در غیر این صورت، چه منابعی برای دستیابی به این میزان فروش مورد نیاز است.
پیشبینیهای میان مدت نیز برای برنامهریزی کسبوکار بکار گرفته میشود. این گونه پیشبینیها برای هزینهیابی از طریق بودجه فروش و مدیریت بازاریابی در کنترل عملکرد بازاریابی از اهمیت ویژهای برخوردار هستند؛ در حالی که این امر به فروش پیشبینی شده میانجامد. با پیشبینی فروش معقول و منطقی، چنین طرحهایی واقعبینانهتر خواهند بود و باید عملیاتی شوند.
تصمیمات مدیریتی در یک بخش تولید به همراه تغییرات خارجی مانند تکنولوژی جدید، مد و هزینه مواد اولیه بر پیشبینی دقیق فروش آینده تأثیر میگذارد. در شرایط رقابتی کنونی کارایی عملیاتی عامل اصلی موفقیت است. در نتیجه، پیشبینی تغییر تقاضا برای ادامه حیات شرکت ضروری است. در صورتی که شرکتی بتواند به طور دقیق تقاضا و همچنین میزان آن را پیشبینی کند، میتواند از قبل برنامهریزی نماید تا به کارآمدترین و سودآورترین روش فعالیت عمل کند.
مدیران با عوامل زیادی احاطه شدهاند که میتوانند عملکرد آینده کسبوکار را تحت تأثیر قرار دهند. با استفاده از بهترین روش پیشبینی موجود، آنها میتوانند موقعیت فعلی خود را ارزیابی کرده و پیشبینیهای دقیقتری را برای آینده ارائه دهند. شرایطی که مدیر در آن پیشبینی را انجام میدهد، هرچه باشد یک هدف کاملاً مشخص دارد که سود حاصل از پیشبینی وی خواهد بود.
شرکتها با استفاده از برنامهریزی خود را برای تغییر آماده میکنند. این امر مستلزم پیشبینی و سپس ارزیابی نحوه دستیابی به این اهداف برنامهریزی است. در عمل، پیشبینی فروش به عنوان پایه برنامهریزی عمل میکند که تمام پیشبینیها و بودجهبندی داخلی بر اساس آن انجام میشود. سطح فروش مورد انتظار در تصمیمگیری برای کاهش عدم اطمینان و کاهش هزینهها است.
به طور خلاصه، پیشبینی در فرآیند برنامهریزی نقشی اساسی دارد و نباید به عنوان جایگزینی برای تصمیمگیری مؤثر استفاده شود؛ در غیر این صورت مدیریت به جای ایجاد استراتژیهای بلند مدت، تمایل به واکنش در برابر نوسانات کوتاه مدت دارد؛ زیرا بر فروش تأثیر میگذارد. بنابراین، یک شرکت باید پس از تدوین برنامه فروش خود، پیشبینی فروش را انجام دهد؛ زیرا در واقع این چیزی است که میخواهد سطح فروش را تعیین کند. پیشبینیکننده برآورد میکند که تحت شرایطی مشخص، برای مجموعهای از تصمیمات چه اتفاقی میافتد؛ در حالی برنامهریزی به دنبال آن است که با انجام برخی از اقدامات، وقایع بعدی مربوط به یک وضعیت خاص را تغییر دهد. بنابراین، اگر پیشبینیای انجام شود که تقاضا کاهش مییابد، مدیریت میتواند طرحی را برای جلوگیری از کاهش فروش تدوین کند. آینده تغییر ناپذیر نیست؛ اگر چنین بود، در پیشبینی یا برنامهریزی هیچ معنای واقعی وجود نخواهد داشت.

اهداف وظیفهای
پیشبینیها برای اهداف مختلفی مورد نیاز هستند؛ از جمله: برنامهریزی تولید، سفارش مواد اولیه، اطمینان از عرضه مستمر نیروهای آموزش دیده، کنترل موجودی کالا، تخمین نیازهای نقدی کوتاه مدت و سایر دلایل. همه این برنامهها، افق زمانی متفاوتی دارند. به این معنی که پیشبینی در زمانهای مختلف قبل از رویداد لازم است. همچنین ما باید وظایف فردی درون کسبوکار را با دقت بیشتری بررسی کنیم و ببینیم هرکدام از آنها چه نیازی به پیشبینی دارند.
ما قبلاً اشاره کردیم که پیشبینی فروش صرفاً برای برنامهریزی در بازاریابی استفاده نمیشود. پیشبینی فروش کاربردهای گستردهای در سازمان دارد. کارکنان بخش بازاریابی باید پیشبینی فروش را انجام دهند؛ این یک تأکید عمدی است زیرا بسیاری از شرکتها پیشبینی فروش را به بخش مالی واگذار میکنند. شاید این کار بر این اساس انجام میشود که حسابداران بهتر از دیگران آمار و ارقام را درک میکنند! آنها همچنین خودشان نیاز به پیشبینی دارند؛ زیرا آنها مسئول بودجهبندی کسبوکارها هستند. بازاریابی، بیش از سایر وظایف کسبوکار باید در بهترین وضعیت پیشبینی فروش قرار گیرد.
اکنون وظایف تجاری که بیشترین ارتباط را با پیشبینی فروش دارند را در نظر میگیریم:
تولید. بخش تولید برای هر خط تولید نیاز به پیشبینی دارند تا بتواند تولید را به صورت منظم برنامهریزی و زمانبندی کند. بنابراین میتوان از ماشین آلات و منابع انسانی به صورت اثربخشی استفاده کرد. بخش تولید در بلند مدت باید در مورد ظرفیت کارخانه تصمیمگیری کند تا بتواند سطح تولید را برای دستیابی به فروش مورد نظر برآورد نماید. بنابراین نیاز اصلی بخش تولید پیشبینیهای دقیق کوتاه مدت برای برنامهریزی و کنترل تولید است.
منابع انسانی. بخش منابع انسانی برای اینکه در آینده بتواند سطح نیروی انسانی مورد نیاز را مشخص کند به پیشبینی فروش نیاز دارد. سپس آنها میتوانند برای دستیابی به فروش پیشبنی شده، منابع انسانی را استخدام یا اخراج کنند. پیشبینی فروش همچنین پیامدهای آموزشی برای کارکنان خواهد داشت تا به سطح فروش مورد انتظار دست یابند؛ بنابراین دغدغه منابع انسانی عمدتاً مربوط به پیشبینی میان مدت است، اما پیشبینی بلند مدت برای طراحی مدیریت برنامههای جانشینی مورد نیاز است.
خرید. با پیشبینی دقیق فروش میتوان شرایط خرید را به موقع برآورد کرد. از آنجا که پیشبینی فروش زمان بیشتری برای خرید به مدیر خرید میدهد، وی ممکن است در موقعیت مطلوبی از خرید قرار گیرد. بخش خرید همچنین میتواند از طریق پیشبینی فروش، کنترل اثربخشی بر روی مواد خام، کالاهای تولید شده و سطح بهینه موجودی بکار گیرد. ریسک موجودی کالای اضافی به همراه ریسک خرابی و فرسودگی کمتر خواهد بود و از آنجا که نیاز به حمل و نقل کمتری است، این امر موجب صرفهجویی در سرمایه در گردش خواهد شد. پیشبینی فروش همچنین با اطمینان از کنترل موجودی از اخلال در برنامه تولید جلوگیری میکند. به طور کلی، وظیفه خرید بیشتر مبتنی بر پیشبینیهای کوتاه مدت است، اگرچه پیشبینی میان مدت نیز ارزشمند خواهد بود.
بازاریابی. بخش بازاریابی باید پیشبینی کند و برای کمپینهای ترفیعی و استراتژیهای فروش به پیشبینی فروش نیاز دارد. برای اینکه نیروی مناسب فروش و بازاریابی را بتوان استخدام کرد و آموزش داد تا به فروش مورد نظر دست یابد به پیشبینی فروش نیاز دارد. همچنین باید برنامههای پاداش تدوین شود؛ به ویژه هنگامی که این برنامهها به اهداف فروش یا سهمیه فروش مرتبط و این اهداف یا سهمیهها بازتاب پیشبینی فروش بین نیروی فروش جداگانه باشند.
تحقیق و توسعه. پیشبینیهای تکنولوژیک برای بخش تحقیق و توسعه مورد نیاز است. محتوای واقعی محصولات بر میزان فروش آنها تأثیر میگذارد و گاهی این گونه محصولات باید به روز یا تغییر کنند. ممکن است یک خط تولید خاص در حال منسوخ شدن باشد، در چنین حالتی تحقیق و توسعه نیاز به برنامهریزی و توسعه یک محصول جدید یا ایجاد تغییراتی در محصول موجود در کنار تحقیقات بازاریابی دارد. تنها با این کار است که یک شرکت میتواند از رقبای خود پیشی بگیرد. بازاریابی از طریق ابزار تحقق بازاریابی با تحقیق و توسعه ارتباط برقرار میکند و از پیشبینیهای میان مدت و بلند مدت، هماهنگی توسعه محصول جدید و در نهایت راهاندازی محصول را ایجاد میکند.
بنابراین با پیشبینی فروش دقیق، بخشهای وظیفهای میتوانند با اطمینان خاطر از انجام و اجرای این برنامهها، برنامهریزی اثربخشی داشته باشند.
روشهای پیشبینی فروش
برای پیشبینی فروش، یک بازاریاب میتواند از بین روشهای مختلف پیشبینی کهه برخی دلبخواهی و برخی دیگر علمی، پیچیده و وقتگیر هستند، دست به انتخاب بزند. انتخاب روش یا روشهای پیشبینی فروش توسط شرکت به هزینههای این روشها، نوع محصول، ویژگیهای بازار، بازه زمانی پیشبینی، اهداف پیشبینی، ثبات دادههای فروش تاریخی، در دسترس بودن اطلاعات مورد نیاز، ترجیحات مدیریتی و تخصص و تجربه پیشبینیکنندگان بستگی دارد. تکنیکهای معمول پیشبینی به پنج دسته تقسیم میشوند: قضاوتهای مدیران ارشد، نظرسنجیها، تحلیلهای سری زمانی، تجزیه و تحلیل رگرسیون و آزمونهای بازار.

قضاوت مدیران ارشد
در بعضی مواقع، پیشبینی فروش یک شرکت اساساً بر مبنای قضاوت مدیران ارشد صورت میگیرد: شهود یک یا چند مدیر سطح عالی شرکت. این رویکرد غیر علمی اما مصلحت آمیز و به صرفهتر است. وقتی تقاضای محصول نسبتاً پایدار باشد و پیشبینیکننده سالها تجربه مربوط به بازار را داشته باشد، قضاوت مدیران ارشد به خوبی عمل میکند. با این حال، از آنجا که تجربه اخیر بیشتر تحت تأثیر شهود است، ممکن است بیش از حد خوشبینانه یا بدبینانه باشد و قضاوتهای مدیران ارشد در مورد پیشبینی فروش را دچار قضاوت اشتباه کند. یکی دیگر از اشکالات شهود این است که پیشبینیکننده فقط تجربه گذشته را به عنوان راهنما برای تصمیمگیری آینده در نظر میگیرد؛ در حالی که ممکن است گذشته کاملاً قابل تعمیم و تسرّی به آینده نباشد.

نظرسنجی
روش دیگر برای پیشبینی فروش، نظرسنجی از مشتریان، نیروی فروش یا کارشناسان فروش در مورد انتظارات آنها در مورد خریدهای آینده است. در روش نظرسنجی از مشتری برای پیشبینی فروش، بازاریابان از مشتریان میپرسند که در یک دوره زمانی خاص چه نوع و چه تعداد از محصولات را خریداری خواهند کرد. این رویکرد ممکن است برای کسبوکارهای با مشتریان نسبتاً کم مفید باشد. برای مثال شرکت اینتل را در نظر بگیرد که به تعداد محدودی از شرکتها (تولیدکنندگان کامپیوتر) محصولات خود را به فروش میرساند. اینتل میتواند نظرسنجیهای پیشبینی فروش را از مشتریان به طور اثربخشی انجام دهد. در مقابل شرکت پپسی کولا که میلیونها مشتری دارد، به راحتی نمیتواند از نظرسنجی مشتری برای پیشبینی فروش آینده استفاده کند. در واقع میتوان این روش پیشبینی فروش را در کسبوکارهای بنگاه به بنگاه (Business to Business) به نحو مؤثری بکار گرفت.
در پیشبینی فروش از طریق نظرسنجی از مشتریان، فروشندگان شرکت، فروش در حوزههای خود را برای یک دوره زمانی مشخص تخمین میزنند. پیشبینیکننده این تخمینهای منطقهای را برای دستیابی به یک پیشبینی آزمایشی با یکدیگر ترکیب میکند. بازاریاب ممکن است به چندین دلیل از کارکنان فروش نظرسنجی کند. مهمترین نکته این است که کارکنان فروش روزانه بیشتر از سایر پرسنل شرکت به مشتریان نزدیک هستند؛ بنابراین باید اطلاعات بیشتری در مورد نیازهای مشتری در آینده داشته باشند. علاوه بر این، هنگامی که نمایندگان فروش در پیشبینی فروش کمک میکنند، احتمالاً آنها میتوانند کمکهای قابل ملاحظهای انجام دهند. علاوه بر این، میتوان پیشبینیهایی برای مناطق مختلف، بخشهای متشکل از چندین منطقه، حوزههای متشکل از چندین بخش و در نهایت کل بازار جغرافیایی تهیه کرد. بنابراین، روش پیشبینی فروش از کوچکترین واحد فروش جغرافیایی تا بزرگترین واحد را انجام میدهد.
وقتی شرکتی به دنبال نظرسنجی از خبرگان برای پیشبینی است، متخصصانی استخدام میکند که در تهیه پیشبینی فروش کمک کنند. این کارشناسان معمولاً اقتصاددانان، مشاوران مدیریت، مدیران تبلیغات، اساتید دانشگاه یا سایر افراد با تجربه خارج از دانشگاه در یک بازار خاص هستند. با استفاده از این تجربه و تجزیه و تحلیل آنها از اطلاعات موجود در مورد شرکت و بازار کارشناسان پیشبینیهایی را تهیه و ارائه میکنند یا به پرسشهای مربوط به پیشبینی فروش پاسخ میدهند. بکارگیری متخصصان یک رویکرد مناسب و نسبتاً کم هزینه است. با این حال، آنها خارج از شرکت کار میکنند؛ این پیشبینیکنندگان ممکن است انگیزه کمتری نسبت به پرسنل شرکت برای انجام یک کار مؤثر داشته باشند.
شکل پیچیدهتر از نظرسنجی، پیشبینی متخصصین با استفاده روش دلفی است. در روش دلفی، کارشناسان پیشبینیهای اولیه را انجام میدهند، سپس میانگین پیشبینیهای خود را به شرکت ارائه میکنند، شرکت نتایج را به آنها باز میگرداند و در نهایت پیشبینیهای خود را اصلاح میکنند. پیشفرض این روش این است که کارشناسان هنگام انجام پیشبینیهای اصلاح شده از میانگین نتایج استفاده میکنند و این پیشبینیها در زمان محدودتری خواهند بود. این روش ممکن است چندین بار تکرار شود تا زمانی که کارشناسان، هر یک جداگانه کار میکنند، در مورد پیشبینیها به توافق برسند. هدف نهایی در استفاده از روش دلفی تهیه پیشبینی فروش بسیار دقیق است.
تحلیل سریهای زمانی
با تجزیه و تحلیل سریهای زمانی، پیشبینیکننده از دادههای فروش تاریخی شرکت برای کشف الگو یا الگوهای فروش شرکت در طول زمان استفاده میکند. اگر الگویی پیدا شود، میتوان از آن برای پیشبینی فروش استفاده کرد. این روش پیشبینی فرض میکند که الگوی فروش گذشته در آینده نیز ادامه خواهد داشت. دقت و در نتیجه مفید بودن، تحلیل سریهای زمانی به اعتبار این فرض بستگی دارد.
در یک تحلیل سری زمانی، یک پیشبینیکننده معمولاً چهار نوع تجزیه و تحلیل را انجام میدهد: روند، چرخه، فصلی بودن و عامل تصادفی. تجزیه و تحلیل روند بر دادههای فروش کل، از جمله آمار فروش سالانه شرکت متمرکز است که یک دوره چندین ساله را پوشش میدهد تا تعیین کند که آیا فروش سالانه به طور کلی در حال افزایش است، کاهش مییابد یا در همان حد باقی میماند. از طریق تجزیه و تحلیل چرخه، یک پیشبینی کننده آمار فروش (اغلب دادهها ماهانه فروش) را برای یک دوره سه تا پنج ساله تجزیه و تحلیل میکند تا بررسی نماید آیا نوسانات فروش به صورت دورهای ثابت است. هنگام انجام تجزیه و تحلیل فصلی، تحلیلگران فروش روزانه، هفتگی یا ماهانه را مورد بررسی قرار میدهد تا میزان تأثیر عوامل فصلی، مانند آب و هوا و تعطیلات بر میزان تأثیرگذاری بر فروش را ارزیابی کنند.
در یک تحلیل عامل تصادفی، پیشبینیکننده تلاش میکند تغییرات فروش نامنظم را به رویدادهای تصادفی، غیرتکراری، مانند قطع برق منطقهای، یک فاجعه طبیعی یا ناآرامی سیاسی در بازار خارج نسبت دهد. پیشبینیکننده پس از انجام هر یک از این تجزیه و تحلیلها، نتایج را برای توسعه پیشبینی فروش ترکیب میکند. تجزیه و تحلیل سری زمانی یک روش پیشبینی مؤثر برای محصولات با تقاضای پایدار منطقی است؛ اما نه برای محصولات با تقاضای بسیار نامنظم.
در ادامه سه الگوی زمانی که کاربردهای زیادی در پیشبینی فروش دارند مورد بررسی دقیقتر قرار میگیرند:
افقی یا ایستا. این نوع الگو، الگوی دادهای است که در طی زمان تغییر نمیکنند. از این رو، اگر زمان را به عنوان متغیر مستقل در نظر بگیرید، وقتی نمودار دادهها رسم میشود. به صورت یک خط افقی است (همانطور که در شکل زیر نشان داده شده است). از این نوع الگوها غالباً به عنوان یک سری زمان ایستا یاد میشود. در واقع دادهها هرگز یک خط کاملاً مستقیم را نشان نخواهند داد؛ زیرا تنشهایی هم در بالا و هم در پایین خط ثابت وجود خواهد داشت. در یک سری زمانی ایستا، مجموعه انحرافات مثبت با مجموع انحرافات منفی برابر خواهد بود. مدل پیشبینی این سری زمانی به صورت زیر خواهد بود:


الگوهای افقی یا ایستا اغلب در پیشبینی کوتاه مدت ظاهر میشوند؛ زیرا اگر وقفه زمانی پیشبینی کوتاه مدت باشد، هر مجموعه داده با یک سری ثابت تقریب خواهد بود. بسیاری از روشهای ساده پیشبینی فرض میکنند که الگوی اساسی یک خط افقی است.
فرض کنید فروش یک شرکت به میلیون ریال در طی یک دوره ساله به صورت زیر باشد:

نمودار نقطهای فروش این شرکت به صورت زیر خواهد بود:

همانطور که نمودار نقطهای فروش این شرکت در طی ده دوره نشان داده شده است؛ میزان فروش در طی این دورهها با تغییرات چندانی همراه نبوده است و میزان فروش این شرکت یک الگوی ایستا را نشان میدهد. از این رو، میزان فروش در دورههای بعدی از طریق میانگین میزان فروش در دورههای قبلی محاسبه میشود. بنابراین خواهیم داشت:

بنابراین میزان فروش این شرکت در دوره یازدهم برابر با 4/40 میلیون ریال خواهد بود.
روند. یک الگوی روند شامل یک خط مستقیم است که یک شیب رو به بالا یا یک شیب رو به پایین را نشان میدهد (شکل زیر را مشاهده کنید). در حالی که الگوی افقی با مقدار میانگین آن توصیف میشود، الگوی روند برای تعریف آن به دو پارامتر نیاز دارد. این دو پارامتر شیب خط و عرض از مبدأ است. معادله اصلی پیشبینی روند به شرح ذیل است:


هر کسبوکاری که در حال رشد یا افول باشد، الگوی روند را در دادههای فروش خود به نمایش میگذارد و ارزیابی دقیق شیب الگوی روند و همچنین هرگونه تغییر در جهت روند، برای هموارسازی کسبوکار حیاتی است.
شیب روند را میتوان از طریق شیب یک خط از طریق دو نقطه به دست آورد که به صورت زیر محاسبه خواهد شد:

فرض کنید فروش یک شرکت به میلیون ریال در طی یک دوره ساله به صورت زیر باشد:

نمودار نقطهای فروش این شرکت به صورت زیر خواهد بود:

همانطور که نمودار نقطهای فروش این شرکت در طی ده دوره نشان میدهد؛ میزان فروش در طی این دورهها با روند صعودی همراه بوده است و میزان فروش این شرکت یک الگوی روند را نشان میدهد. از این رو، میزان فروش در دورههای بعدی از طریق شیب این خط و عرض از مبدأ آن محاسبه میشود. برای محاسبه شیب همانطور که گفته شد میتوان دو میزان فروش در دورههای مختلف را در نظر گرفت در اینجا شیب بین دورههای نهم و هفتم در نظر گرفته شده است. از این رو خواهیم داشت:

بنابراین شیب این خط به صورت تقریب 7/0 است. همچنین از آنجایی که میزان عرض از مبدأ به صورت تقریبی برای این معادله مقدار دوره اول در نظر گرفته شده است؛ بنابراین مقدار آن 20 است. بنابراین معادله این خط به صورت زیر خواهد بود:

بنابراین میزان فروش در دوره یازدهم به صورت زیر محاسبه میشود:

بنابراین به صورت تقریبی میزان فروش در دوره یازدهم 7/27 میلیون ریال خواهد بود.
فصلی بودن. الگوی دادههای فصلی الگویی است که به طور منظم با یک الگوی تکراری، تکرار میشود. این الگو یک تکرار قابل پیشبینی در طول یک دوره زمانی را به نمایش میگذارد (همانطور که در شکل زیر نشان داده شده است). تابع ریاضی را که تنوع دادهها را به صورت دورهای توصیف میکند، یک تابع وابسته به زمان مینامند. همه روشهایی که الگوی دادههای فصلی را در نظر میگیرند از روشهایی استفاده میکنند که به دنبال تعیین ماهیت عملکرد وابسته به زمان هستند. پارامترهای مهم توصیفکننده تابع وابسته به زمان، تناوب و دامنه است. تناوب عبارت است از طول زمان بین دو قله یا دو فرو رفتگی مجاور؛ در حالی که دامنه مقدار یا ارتفاع قله است. الگوهای دورهای یا فصلی با معادلهای به شرح ذیل نشان داده میشوند:


فرض کنید فروش یک شرکت به میلیون ریال در طی یک دوره ده ساله به صورت زیر باشد:

نمودار نقطهای فروش این شرکت به صورت زیر خواهد بود:

همانطور که نمودار نقطهای فروش این شرکت در طی ده دوره نشان میدهد؛ میزان فروش در طی این دورهها از یک الگوی فصلی پیروی میکند. همانطور که این نمودار نشان میدهد، میزان فروش در دورهها به صورت تناوبی است و قله فروش در یک دوره در دوره بعد با یک فرو رفتگی فروش همراه خواهد بود. همانطور که نمودار پیشبینی فروش این شرکت نشان میدهد قلههای فروش در دورههای زوج و فرو رفتگیهای فروش در دورههای فرد است. بنابراین یک روش آسان میانگین فروش در دورههای زوج یا فرد است. از آنجایی که به دنبال آن هستیم تا میزان فروش در دوره یازدهم را پیشبینی کنیم و این دوره به عنوان یک دوره فرد است؛ از این رو میانگین فروش در دورههای اول، سوم، پنجم، هفتم و نهم را محاسبه خواهیم کرد. بنابراین خواهیم داشت:

بنابراین میزان فروش در دوره یازدهم به صورت تقریبی 54/20 میلیون ریال خواهد بود.
تجزیه و تحلیل رگرسیون
همانند تحلیل سری زمانی، تحلیل رگرسیون نیاز به استفاده از دادههای فروش تاریخی دارد. در تحلیل رگرسیون، پیشبینیکننده میخواهند رابطهای بین فروش گذشته (متغیر وابسته) و یک یا چند متغیر مستقل مانند جمعیت، درآمد سرانه یا تولید ناخالص داخلی پیدا کند. تجزیه و تحلیل رگرسیون ساده از یک متغیر مستقل استفاده میکند؛ در حالی که تحلیل رگرسیون چندگانه شامل دو یا چند متغیر مستقل است. هدف از تجزیه و تحلیل رگرسیون، ایجاد یک فرمول ریاضی است که به طور دقیق رابطه بین فروش شرکت و یک یا چند متغیر را شرح دهد. با این حال، این فرمول تنها یک رابطه را نشان میدهد و نه یک رابطه علی- معلولی. پس از ایجاد فرمول ، تحلیلگر اطلاعات لازم را برای استخراج پیشبینی فروش به فرمول ارائه میکند.
تجزیه و تحلیل رگرسیون زمانی مفید است که بتوان ارتباط مستقیمی ایجاد کرد؛ با این حال، پیشبینیکننده به ندرت یک ارتباط کامل را پیدا میکند. به علاوه این روش فقط زمانی قابل استفاده است که دادههای فروش تاریخی موجود در طی دورههای زمانی مختلف موجود باشند. بنابراین، تجزیه و تحلیل رگرسیون برای پیشبینی فروش محصولات جدید کاربردی ندارد.
معادله مدل رگرسیون با یک متغیر مستقل (رگرسیون ساده) به صورت زیر است:

در این معادله y، میزان پیشبینی فروش در دوره بعد، a، عرض از مبدأ معادله، x، متغیر مستقل و b شیب خط معادله رگرسیون است. مقدار b در این معادله به صورت زیر محاسبه میشود:

همچنین مقدار عرض از مبدأ در این رابطه از طریق رابطه زیر محاسبه میشود:

با این حال به جای محاسبات دستی معادله رگرسیون روش سادهتر استفاده از نرم افزار SPSS یا نرم افزار Excel است. برای بررسی پیشبینی فروش به مثال زیر توجه کنید:
فرض کنید شرکتی به دنبال آن است تا معادله رگرسیون میزان فروش شرکت و سرمایهگذاری در ارتباطات بازاریابی را به دست آورد. بدین منظور نیاز به دادههای تاریخی مربوط به این دو متغیر دارد. جدول زیر میزان فروش شرکت و میزان سرمایهگذاری در ارتباطات بازاریابی را طی ده سال نشان میدهد (ارقام به میلیون ریال است). میخواهیم ببینم که در سال یازدهم میزان فروش این شرکت با توجه به میزان سرمایهگذاری در ارتباطات بازاریابی چقدر خواهد بود:

برای این منظور نخست نمودار نقطهای برای پی بردن به رابطه بین میزان فروش و میزان سرمایهگذاری در ارتباطات ترسیم میشود:

همانطور که در نمودار بالا مشاهده میشود یک رابطه خطی بین این دو متغیر وجود دارد. از این رو برای محاسبه معادله رگرسیون از فرمولهای بالا برای تعیین شیب خط رگرسیون و عرض از مبدأ استفاده میشود.
برای تعیین شیب خط رگرسیون باید اجزای فرمول آن محاسبه شود. اجزای فرمول شیب خط رگرسیون به صورت ذیل خواهد بود:

بنابراین معادله رگرسیون به صورت زیر خواهد بود:


حال در صورتی که میزان سرمایهگذاری در ارتباطات بازاریابی 22 میلیون ریال باشد میزان فروش در دوره یازدهم به صورت زیر محاسبه خواهد شد:

بنابراین میزان فروش در دوره یازدهم به صورت تقریبی 367/145 میلیون ریال خواهد بود.
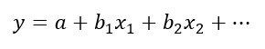
در صورتی که بخواهیم تخمین دقیقتری از میزان فروش در دورههای آتی داشته باشیم؛ میتوانیم متغیرهای مستقل اما مرتبط به فروش از جمله قیمت، توزیع و ... را به این معادله رگرسیون اضافه کنیم. معادله رگرسیون در این صورت به صورت ذیل نوشته میشود:


در این معادله y، میزان پیشبینی فروش در دوره بعد، a، عرض از مبدأ معادله، x_1 و x_2 متغیرهای مستقل و b_1 و b_2 شیب خط معادله رگرسیون است. به همین ترتیب هر تعداد متغیر مستقل را میتوان به این معادله اضافه کرد. برای راحتی در محاسبات میتوان از نرمافزارهای آماری در این زمینه استفاده کرد.
آزمون بازار
آزمون بازار شامل در دسترس قرار دادن یک محصول در یک یا چند قسمت آزمایشی برای خریداران و اندازهگیری خریدها و پاسخ مصرفکننده به توزیع، تبلیغات و قیمت است. مناطق آزمایشی اغلب شهرهایی با 200 تا 500 هزار نفر جمعیت هستند، اما میتوانند در کلانشهرها یا شهرهای بزرگتر از 50 تا 200 هزار نفر نیز انجام شوند.
آزمون بازار، اطلاعات مربوط به خریدهای واقعی مصرفکنندگان را به جای خریدهای مورد نظر ارائه میدهد. علاوه بر این، میزان خرید را میتوان در رابطه با شدت سایر فعالیتهای بازاریابی مانند تبلیغات، تبلیغات درون فروشگاهی، قیمتگذاری، بستهبندی و توزیع ارزیابی کرد. پیشبینیکنندگان تخمین فروش را برای واحدهای جغرافیایی بزرگتر بر اساس پاسخ مشتری در مناطق آزمایشی قرار میدهند.
از آنجایی که این روش به دادههای فروش تاریخی نیاز ندارد، آزمون بازار برای پیشبینی فروش محصولات جدید یا فروش محصولات موجود در مناطق جغرافیایی جدید میتواند بکار گرفته شود. همچنین آزمون بازار به بخش بازاریابی فرصت میدهد تا عناصر مختلف آمیخته بازاریابی را آزمایش کند. با این حال، این آزمونها اغلب زمانبر و پر هزینه هستند. علاوه بر این، یک بازاریاب نمیتواند اطمینان پیدا کند که پاسخ مصرفکننده در طی یک آزمون بازار نشاندهنده پاسخ کل بازار است یا چنین پاسخی از سوی آنها در آینده ادامه خواهد داشت.
روشهای پیشبینی چندگانه
اگرچه برخی از کسبوکارها به یک روش پیشبینی فروش واحد متکی هستند؛ اما اکثر شرکتها از چندین روش پیشبینی فروش استفاده میکنند. گاهی اوقات یک شرکت مجبور است هنگام بازاریابی خطوط تولید متوع خود ز روشهای مختلفی استفاده کند؛ اما حتی یک خط محصول ممکن است به پیشبینیهای زیادی نیاز داشته باشد به ویژه هنگامی که محصول به بخشهای مختلف بازار فروخته میشود. بنابراین، برای مثال یک تولیدکننده تایرهای اتومبیل ممکن است یک روش برای پیشبینی فروش تایر برای اتومبیلهای جدید و روشی دیگر برای پیشبینی روش تایرهای تعویضی بکار گیرند. تغییر در طول پیشبینیهای مورد نیاز ممکن است چندین روش پیشبنی را نیاز داشته باشد. اطلاعاتی که از یک روش برای پیشبینی کوتاه مدت استفاده میکنند ممکن است پیشبینی بلند مدت نا مناسب باشد. گاهی اوقات بازاریاب با استفاده از یک یا چند روش دیگر و مقایسه نتایج آنها با یکدیگر، نتایج یک روش را تأیید میکند.
سایر روشهای پیشبینی فروش
سایر روشهای پیشبینی فروش در ذیل ارائه شدهاند:
**تجزیه و تحلیل عوامل بازار

فروش یک شرکت ممکن است به رفتار برخی از عوامل بازار بستگی داشته باشد. ممکن است عوامل اصلی مؤثر بر فروش تعیین شوند. با مطالعه رفتار عوامل بازار، پیشبینی فروش صورت میگیرد. همبستگی یک تحلیل آماری است که میزان نوسان دو متغیر را در ارتباط با یکدیگر بررسی میکند.
داشتن رابطه از اهمیت خاصی برخوردار است و نشان میدهد که بین متغیرهای مشاهده آیا ارتباطی وجود دارد یا خیر. به همین ترتیب تحلیل رگرسیون یک ابزار آماری است که به ما کمک میکند تا مقادیر ناشناخته یک متغیر را از مقادیر شناخته شده یک متغیر دیگر تخمین زده و یا پیشبینی کنیم.
برای مثال، شما یک کتاب در رابطه با حوزه مدیریت برای دانشگاههای مختلف منتشر میکنید. ظرفیت مجاز مصرف این کتاب و محیطی که دانشجویان در آنها این کتاب تدریس میشود. آیا این یک موضوع اجباری است یا اختیاری؟ با به دست آوردن تمام این جزئیات و همچنین با در نظر گرفتن فعالیتهای فروش مربوط به کارهای ترفیعی، ممکن است بتوانید نسخههای احتمالی که باید چاپ شود را تخمین بزنید.
کلید استفاده موفقیتآمیز از این روش در انتخاب عوامل مناسب بازار نهفته است. به حداقل رساندن تعداد این عوامل نیز مهم است. بنابراین، تصمیمگیرندگان در مورد تقاضا باید قیمت، تبلیغات، عادات خرید، عادات مصرف، شاخص قیمت مصرفکننده، تغییر در هرم سنی جمعیت و ... را در نظر بگیرند. از جمله مزایای این روش این است که یک تکنیک ساده است و عوامل بازار به تفصیل مورد تجزیه و تحلیل قرار میگیرند. همچنین معایب این روش عبارتاند از: پر هزینه بودن و صرف زمان زیاد برای انجام تحلیل.
**مدلسازی اقتصادسنجی
این یک رویکرد ریاضی به پیشبینی فروش و روشی ایدهآل برای آن است. این روش بیشتر برای بازاریابی کالاهای با دوام مفید است. این روش به صورت معادلاتی است که نمایانگر مجموعهای از روابط بین تقاضای مختلف تعیینکننده عوامل بازار است. با تجزیه و تحلیل عوامل (متغیر مستقل) و فروش (متغیر وابسته)، میزان فروش پیشبینی میشود. این سیستم کاملاً به تحلیل همبستگی متکی نیست و دامنه وسیعی دارد؛ اما اتخاذ این روش به دسترسی کامل به اطلاعات وابسته است. عوامل بازار که دقیقتر و جمعآوری آنها کمهزینهتر است باید برای پیشبینی انتخاب شوند.
سخن آخر
پیشبینی فروش مقدار محصولی است که شرکت انتظار دارد در یک دوره زمانی مشخص و در سطح مشخصی از فعالیتهای بازاریابی به فروش برساند. پیشبینی فروش به منظور برنامهریزی کسبوکار، دستیابی به اهداف شرکتی و اهداف وظیفهای در بخشهای تولید، تحقیق و توسعه، بازاریابی خرید و منابع انسانی بکار گرفته میشود. نکتهای که باید به آن توجه داشت این است که پیشبینی فروش توسط دپارتمان بازاریابی انجام میشود. با توجه به اینکه پیشبینی فروش بسیاری از بخشهای سازمان را تحت شعاع قرار میدهد باید از روشهایی برای تخمین پیشبینی فروش بهره گرفت. در این مقاله چندین روش مختلف برای پیشبینی فروش ارائه شد. به طور معمول روشهای پیشبینی فروش عبارتاند از: قضاوتهای مدیران ارشد، نظرسنجیها، تحلیلهای سری زمانی، تجزیه و تحلیل رگرسیون، آزمونهای بازار، روشهای ترکیبی، تجزیه و تحلیل عوامل بازار و مدلسازی اقتصاد سنجی.
به طور کلی روشهای پیشبینی فروش مبنای برنامهریزی شرکت برای دستیابی به اهداف است. هر کسبوکاری چه در شروع کسبوکار و چه در حال کسبوکار نیاز است که پیشبینی فروش خود را با استفاده از روشهای پیشبینی فروش ارائه شده در این مقاله انجام دهد.
منابع
Forecasting for sales and materials management
Marketing
https://www.yourarticlelibrary.com/
تهیه شده در گروه تولید محتوی سپینود شرق
کلیه حقوق این وبسایت متعلق به موسسه سپینود شرق می باشد.